Bisimulazione forte

La prima proprietà che vogliamo mostrare è come la strong bisimulation sia preservata da alcune operazioni sulle relazioni (teniamo a mente quanto visto in precedenza su relazioni inverse e composte):

Proposizione 6..1   Si assuma che ogni $ \mathcal{S}_i \: (i = 1,2,\dots)$ sia una bisimulazione forte, allora anche le seguenti relazioni sono bisimulazioni forti:

  1. $ {Id}_{\mathcal{P}}$

  2. $ \mathcal{S}_i^{-1}$

  3. $ \mathcal{S}_1\mathcal{S}_2$

  4. $ \cup_{i \in I}\mathcal{S}_i$

Dimostrazione. Proveremo solo la 3, le altre sono altrettanto facili. Supponiamo dunque che

$\displaystyle (p,r) \: \in \: \mathcal{S}_1\mathcal{S}_2$

Per qualche $ q$, avremo che

$\displaystyle (p,q) \: \in \: \mathcal{S}_1 \quad \wedge \quad (q,r) \: \in \: \mathcal{S}_2$

Sia adesso $ p \stackrel{\alpha}{\longrightarrow} p'$. Allora per qualche $ q'$ avremo, dal momento che $ (p,q) \: \in \:
\mathcal{S}_1$

$\displaystyle q \stackrel{\alpha}{\longrightarrow} q' \quad \wedge \quad (p',q') \: \in \: \mathcal{S}_1$

Inoltre, poichè $ (q,r) \: \in \: \mathcal{S}_2$ si ha, per qualche $ r'$

$\displaystyle r \stackrel{\alpha}{\longrightarrow} r' \quad \wedge \quad (q',r') \: \in \: \mathcal{S}_1$

Da questo si ottiene $ (p',r') \: \in \:
\mathcal{S}_1\mathcal{S}_2$. In modo del tutto simile si trova che se $ r \stackrel{\alpha}{\longrightarrow} r'$, allora possiamo trovare un $ p'$ tale che $ p \stackrel{\alpha}{\longrightarrow} p'$ e $ (p',r') \: \in \:
\mathcal{S}_1\mathcal{S}_2$. $ \qedsymbol$

Dimostriamo due proprietà accennate in precedenza ma che non abbiamo provato:

Proposizione 6..2   $ \:$
  1. $ \sim$ è la più larga bisimulazione forte;

  2. $ \sim$ è una relazione di equivalenza.

Dimostrazione. Dimostriamo i due asserti separatamente:
  1. Dal punto 4. della proposizione 6.1 si vede come l'unione di bisimulazioni forti sia ancora una bisimulazione forte: dunque, anche $ \sim$ lo è e comprende tutte le altre bisimulazioni.

  2. Per provare che sia una relazione di equivalenza, cioè che sia riflessiva simmetrica e transitiva, mostriamo che valgono queste proprietà:

    Riflessività: $ \forall p \quad p \: \sim \: p$ dal punto 1. della proposizione 6.1;

    Simmetria: se $ p\:\sim\: q$ allora $ (p,q) \in
\mathcal{S}$ per qualche bisimulazione forte $ \mathcal{S}$. Allora $ (q,p) \in \mathcal{S}^{-1}$ e quindi $ q \: \sim \: p$ per il punto 2. della proposizione 6.1;

    Transitività: se $ p\:\sim\: q$ e se $ q \: \sim \: r$ allora $ (p,q) \in \mathcal{S}_1$ e $ (q,r) \in \mathcal{S}_2$ per qualche bisimulazione forte $ \mathcal{S}_1$ ed $ \mathcal{S}_2$. Dunque $ (p,r) \: \in \: \mathcal{S}_1\mathcal{S}_2$ e quindi $ p \:
\sim \: r$ per il punto 3. della proposizione 6.1.

$ \qedsymbol$

Vogliamo dunque provare che $ \sim$ soddisfa le proprietà che abbiamo chiamato ($ *_{\sim}$). Sappiamo che metà dell'implicazione vale, in quanto 'sse' è stato rimpiazzato da 'implica', dal momento che $ \sim$ è una bisimulazione forte; rimane dunque da provare l'altra metà. Per fare questo, definiamo dapprima una nuova relazione, $ \sim'$ in termini di $ \sim$ nel modo seguente:

Definizione 6..1   $ p \: \sim ' \: q$ sse, $ \forall \alpha \: \in \: Act_{\tau}$,

  1. $ \forall p': \: p \stackrel{\alpha}{\longrightarrow} p'
\quad \exists q' : \: q \stackrel{\alpha}{\longrightarrow} q'
\quad \wedge \quad p' \: \sim \: q'$

  2. $ \forall q': \: q \stackrel{\alpha}{\longrightarrow} q'
\quad \exists p' : \: p \stackrel{\alpha}{\longrightarrow} p'
\quad \wedge \quad p' \: \sim \: q'$.

Dalla proposizione 6.2, punto 1., sappiamo che $ \sim$ è una bisimulazione forte, possiamo allora dedurre che

$\displaystyle p \: \sim \: q$   implica$\displaystyle \quad p \: \sim ' \: q \qquad \qquad(\char93 )$

Rimane da provare il viceversa, cioè che $ p \: \sim ' \: q$ implica $ p\:\sim\: q$. Il seguente risultato è sufficiente:

Lemma 6..1   La relazione $ \sim'$ è una bisimulazione forte.

Dimostrazione. Sia $ p \: \sim ' \: q$ e $ p \stackrel{\alpha}{\longrightarrow} p'$. E' sufficiente trovare un $ q'$ tale che $ q \stackrel{\alpha}{\longrightarrow} q'$ e $ p' \: \sim ' \: q'$. Ma per la definizione di $ \sim'$ possiamo infatti trovare questo $ q'$ tale che $ q \stackrel{\alpha}{\longrightarrow} q'$ e $ p' \:
\sim \: q'$. Grazie a (#) sappiamo allora che $ p' \: \sim ' \: q'$, e con questo si conclude la prova. $ \qedsymbol$

Si è quindi dimostrato che $ \sim$ soddisfa ($ *_{\sim}$):

Proposizione 6..3   $ p\:\sim\: q$ sse, $ \forall \alpha \: \in \: Act_{\tau}$

Quello che vogliamo fare è provare che molte delle leggi di inferenza introdotte per CCS possono essere provare vere se si interpreta '=' come la bisimulazione forte; quanto proveremo adesso risulta valido anche per la nozione di bisimulazione debole (più generosa). In ogni caso, le $ \tau$ laws non sono valide per la bisimulazione forte ma soltanto per la nozione debole.

Proposizione 6..4   Le monoid laws:
  1. $ p+q \: \sim \: q+p$

  2. $ p+(q+r) \: \sim \: (p+q)+r$

  3. $ p+p \: \sim \: p$

  4. $ p+nil \: \sim \: p$

Dimostrazione. Dimostreremo solo il punto 2.; gli altri seguono procedimenti simili. Supponiamo che

$\displaystyle p+(q+r) \stackrel{\alpha}{\longrightarrow} p'$

Allora dalla semantica della regola Somma sia ha che $ p \stackrel{\alpha}{\longrightarrow} p'$ oppure $ q
\stackrel{\alpha}{\longrightarrow} p'$ oppure $ r
\stackrel{\alpha}{\longrightarrow} p'$. In ognuno dei casi possiamo facilmente inferire da Somma che $ (p+q)+r
\stackrel{\alpha}{\longrightarrow} p'$. Questo dimostra la proprietà (i) di ($ *_{\sim}$), il punto (ii) si dimostra in modo simile. $ \qedsymbol$

Proposizione 6..5   Le static laws:
  1. $ p\vert q \: \sim \: q\vert p$

  2. $ p\vert(q\vert r) \: \sim \: (p\vert q)\vert r$

  3. $ p\vert nil \: \sim \: p$

  4. $ p\setminus L \: \sim \: p$   se$ \: \mathcal{L}(p)
\cap(L\cup\overline{L})= \emptyset$

  5. $ p\setminus K\setminus L \: \sim \: p\setminus(K\cup L)$

  6. $ p [ f ] \setminus L \: \sim \: p\setminus f^{-1}(L)[f]$

  7. $ (p\vert q)\setminus L \: \sim \: p\setminus L \vert q\setminus L$   if$ \: \mathcal{L}(p) \cap
\overline{\mathcal{L}(q)}\cap(L\cup \overline{L})= \emptyset$

  8. $ p[Id] \: \sim \: p$

  9. $ p[f] \: \sim \: p[f']$

  10. $ p[f][f'] \: \sim \: p[f\circ f']$

  11. $ (p\vert q)[f] \: \sim \: p[f]\vert q[f]$

Dimostrazione. Tutte queste leggi possono essere dimostrate esibendo un'appropriata bisimulazione forte. La più difficile è la 2. e per questo la analizziamo subito.

Per questo punto, abbiamo bisogno di mostrare che $ \mathcal{S}$ è una bisimulazione forte, dove

$\displaystyle \mathcal{S} = \{( \: p_1\vert(p_2\vert p_3), (p_1\vert p_2)\vert p_3 \: ) \: : p_1,p_2,p_3
\: \in \: \mathcal{P} \} $

Supponiamo ora che $ p_1\vert(p_2\vert p_3)
\stackrel{\alpha}{\longrightarrow} q$. Ci sono tre casi, con relativi sottocasi, che possono verificarsi:

Caso 1
$ p_1 \stackrel{\alpha}{\longrightarrow} p_1'$, e $ q
\equiv p_1'\vert(p_2\vert p_3)$ .
E' facile allora mostrare che $ (p_1\vert p_2)\vert p_3
\stackrel{\alpha}{\longrightarrow} r \equiv (p_1'\vert p_2)\vert p_3$, e chiaramente $ (q,r) \: \in \: \mathcal{S}$.

Caso 2
$ p_2\vert p_3 \stackrel{\alpha}{\longrightarrow}
p_{23}'$ e $ q \equiv p_1\vert p_{23}'$

Caso 2.1
$ p_2 \stackrel{\alpha}{\longrightarrow} p_2'$ e $ p_{23}' \equiv p_2'\vert p_3$
Allora $ q \equiv p_1\vert(p_2'\vert p_3)$, ed è facile vedere che $ (p_1\vert p_2)\vert p_3 \stackrel{\alpha}{\longrightarrow} r \equiv
(p_1\vert p_2')\vert p_3$, e chiaramente $ (q,r) \: \in \: \mathcal{S}$.

Caso 2.2
$ p_3 \stackrel{\alpha}{\longrightarrow} p_3'$ e $ p_{23}' \equiv p_2\vert p_3'$
In modo simile al Caso 2.1.

Caso 2.3
$ \alpha = \tau, p_2 \stackrel{l}{\longrightarrow}
p_2' \: \wedge \: p_3 \stackrel{\overline{l}}{\longrightarrow} p_3'$ e $ p_{23}' \equiv p_2'\vert p_3'$
Allora $ q \equiv p_1\vert(p_2'\vert p_3')$, ed è facile vedere che $ (p_1\vert p_2)\vert p_3 \stackrel{\tau}{\longrightarrow} r \equiv
(p_1\vert p_2')\vert p_3'$, e chiaramente $ (q,r) \: \in \: \mathcal{S}$

Caso 3
$ \alpha = \tau, p_1 \stackrel{l}{\longrightarrow}
p_1' \: \wedge \: p_2\vert p_3 \stackrel{\overline{l}}{\longrightarrow}
p_{23}'$ e $ q \equiv p_1'\vert p_{23}'$

Caso 3.1
$ p_2 \stackrel{\overline{l}}{\longrightarrow}
p_2'$ e $ p_{23}' \equiv p_2'\vert p_3$
Allora $ q \equiv p_1'\vert(p_2'\vert p_3)$, ed è facile vedere che $ (p_1\vert p_2)\vert p_3 \stackrel{\tau}{\longrightarrow} r \equiv
(p_1'\vert p_2')\vert p_3$, e chiaramente $ (q,r) \: \in \: \mathcal{S}$

Caso 3.2
$ p_3 \stackrel{\overline{l}}{\longrightarrow}
p_3'$ e $ p_{23}' \equiv p_2\vert p_3'$
In modo simile al Caso 3.1

Questo prova la condizione 1. della definizione 5.9; la condizione 2. segue da un'argomentazione simmetrica, ed abbiamo così mostrato che $ \mathcal{S}$ è una strong bisimulation.

Le altre parti della proposizione sono trattate in maniera simile. Per 4. si deve provare che, per un fissato $ L$, la relazione

$\displaystyle \mathcal{S} = \{ (P\setminus L, P) \: : \: p \: \in \:
\mathcal{P}, \mathcal{L}(p) \cap (L \cup \overline{L}) = \emptyset
\}
$

è una bisimulazione forte. Ora, se $ (P\setminus L, P) \: \in \:
\mathcal{S}$, allora (per la condizione sopra) $ p \stackrel{\alpha}{\longrightarrow} p'$ implica che $ \alpha,
\overline{\alpha} \: \not\in \: L$; rimane da mostrare che $ (p'
\setminus L, p') \: \in \: \mathcal{S}$. Ma $ \mathcal{L}(p')
\subseteq \mathcal{L}(p)$ per ogni $ p'$ derivazione di $ p$, così $ \mathcal{L}(p') \cap (L \cup \overline{L}) = \emptyset$, e di conseguenza $ (p'
\setminus L, p') \: \in \: \mathcal{S}$ come richiesto.

Le restanti parti non introducono altre problematiche.

$ \qedsymbol$

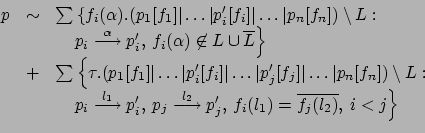
Proposizione 6..6 (Expansion law)   Sia $ p \equiv (p_1[f_1]\vert\dots \vert p_n[f_n])\setminus L$, con $ n \geq
1$. Allora

\begin{displaymath}
\begin{array}{rcl}
p & \sim & \sum \left\{f_i(\alpha).(p_1...
...i(l_1)= \overline{
f_j(l_2)}, \: i < j \right\}
\end{array}
\end{displaymath}

Dimostrazione. Consideriamo dapprima il caso semplice nel quale non sono presenti Restrizioni e Relabelling. In fatti, possiamo provare quanto segue per induzione su n:

Se $ p \equiv p_1 \vert \dots \vert p_n, \: n \geq 1$, allora $ \qquad
\qquad \qquad \qquad \qquad \qquad \qquad \quad$ ($ *_{+}$)

\begin{displaymath}
\begin{array}{rcl}
p & \sim & \sum \left\{\alpha.(p_1\vert...
...krel{\overline{l}}{\longrightarrow}p_j' \right\}
\end{array}
\end{displaymath}

Per $ n = 1$ ci si riduce a provare che $ p_1 \sim \sum
\{\alpha.p_1' \: : \: p_1 \stackrel{\alpha}{\longrightarrow} p_1'
\}$, il che è immediato. Assumiamo vero il risultato per $ n$ e consideriamo $ r \equiv p\vert p_{n+1}$. E' immediato, dall'applicazione delle regole di Composizione parallela che

\begin{displaymath}
\begin{array}{rcl}
r & \sim & \sum \{\alpha.(p'\vert p_{n+...
...ckrel{\overline{l}}{\longrightarrow} p_{n+1}' \}
\end{array}
\end{displaymath}

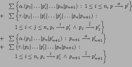
Usiamo ora l'assunzione iniziale per $ p \equiv p_1 \vert \dots \vert p_n, \: n \geq 1$, allora la parte destra può essere riformulata ne modo seguente (si noti che la prima sommatoria può essere divisa in due parti, a seconda che $ p \stackrel{\alpha}{\longrightarrow} p'$ sia dovuto ad un singolo $ p_i$ oppure all'interazione tra $ p_i$ e $ p_j$):

\begin{displaymath}
\begin{array}{rcl}
& & \sum \left\{ \alpha.(p_1\vert \dot...
...rline{l}}{\longrightarrow} p_{n+1}' \right\} \\
\end{array}
\end{displaymath}

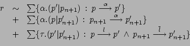
Possiamo allora ricombinare la prima con la terza sommatoria e la seconda con la quarta per ottenere quanto si cercava:

\begin{displaymath}
\begin{array}{rcl}
r & \sim & \sum \left\{\alpha.(p_1\vert...
...krel{\overline{l}}{\longrightarrow}p_j' \right\}
\end{array}
\end{displaymath}

Possiamo dunque estendere ($ *_{+}$) per provare il teorema nella forma in cui è stato enunciato. Possiamo introdurre per prima il Relabelling, considerando $ p_i \equiv q_i[f_i]$ in ($ *_{+}$), ed osservando che $ p_i$ ha una transizione $ p_i
\stackrel{\alpha}{\longrightarrow}p_i'$ sse $ q_i$ ha una transizione $ q_i \stackrel{\beta}{\longrightarrow}q_i'$ tale che $ \alpha = f_i(\beta)$ e $ p_i'=q_i'[f_i]$. Possiamo infine introdurre la Restrizione, usando l'equivalenza forte

$\displaystyle q \setminus L \: \sim \: \sum \{ \beta.(q' \setminus L) \: : \:
...
...el{\beta}{\longrightarrow}q_i', \: \beta \: \not\in \:
L \cup \overline{L} \} $

dove $ q \equiv q_1[f_1] \vert \dots \vert q_n[f_n]$.

$ \qedsymbol$

Abbiamo quindi dimostrato tutte le leggi viste sostitudendo al simbolo '=' quello di bisimulazione forte '$ \sim$'. Ciò che adesso vogliamo fare è provare che $ \sim$ è una relazione di congruenza, cioè che se due processi sono bisimili fortemente, allora dove ce n'è uno si può sostituire l'altro.



Subsections
Morpheus 2004-02-10